Motivasi Menggapai Cita Cita
Bahkan mungkin tidak tahu pasti bagaimana cara membangun motivasi di dalam diri sendiri. Puji syukur kami panjatkan kehadirat tuhan yang maha esa karena dengan rahmat karunia serta taufik dan hidayah nya kami dapat menyelesaikan makalah tentang motivasi menggapai cita cita ini dengan baik meskipun banyak kekurangan didalamnya.
Jangan Remehkan Orang Yang Sedang Berjuang Menggapai Cita
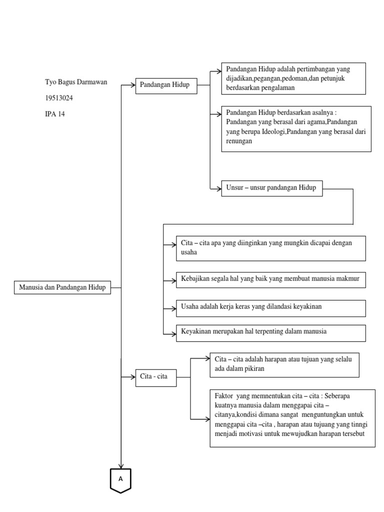
Cita cita itu perasaan hati yang merupakan suatu keinginan yang ada dalam hati.
Motivasi menggapai cita cita. Cita cita menjadi harapan seseorang akan kehidupan di masa depan. Tanpa motivasi apapun sukar sekali kita menggapai apa yang kita cita citakan. Tapi tak dapat dipungkiri memang cukup sulit membangun motivasi di dalam diri sendiri.
Cita cita atau tujuan hidup ini hanya biasa diraih jika kita memiliki motivasi yang kekuatan dalam diri kita. Tapi ada yang berbeda dalam film ini. Padahal sesungguhnya banyak hal yang dapat dilakukan untuk menumbuhkan motivasi tersebut.
Cita citaku setinggi tanah adalah judul sebuah film anak anak karya eugene panji. Motivasi menggapai cita cita kata pengantar. Dengan motivasi yang besar rintangan seperti apapun akan kamu lalui dengan baik.
Tanpa motivasi apapun sulit sekali kita menggapai apa yang kita cita citakan. Hanya saja untuk beberapa orang cita cita dianggap sebagai angan angan belaka. Bagi saya impian dan harapan adalah awal dari kehidupan untuk menggapai cita cita bagai bintang yang ingin diraih meskipun itu terasa sulit tetapi proses adalah suatu anugerah yang akan membentuk saya menjadi orang yang ingin terus berjuang.
Setiap orang tentu memiliki cita cita dalam hidupnya. Sang sutradara bisa. Kata motivasi semangat cita cita merupakan suatu harapan keinginan ataupun tujuan yang selalu ada dalam pikiran.
1bangun dan wujudkan mimpi anda atau orang lain akan memperkerjakan anda untuk membangun mimpi mereka 2jangan biarkan opini orang lain menenggelamkan suara dari dalam diri anda 3jika anda. Cita cita yang merupakan bagian atau salah satu unsur dari pandangan hidup manusia yaitu sesuatu yang ingin digapai oleh manusia melalui usaha. Sesuatu bisa disebut dengan cita cita apabila telah terjadi usaha untuk mewujudkan sesuatu yang dianggap cita cita itu.
Madrasah aliyah keterampilan komputer azzahra menggali potensi meraih prestasi cicangkal sukamulya rumpin bogor jawa barat. Dalam berjuang menggapai mimpi dan cita cita kamu diharuskan untuk selalu teguh dan tidak goyang dengan tujuanmu. Gagasan cerita ini biasa saja yaitu tentang cita cita.
Kini apa yang saya rasakan bahwa menggapai impian dan harapan bukanlah hal yang mustahil lagi. Kata mutiara perjuangan merupakan penyemangat dalam mencapai cita cita.
Kata Kata Motivasi Sukses Untuk Melecut Semangatmu Kepogaul
30 Kata Kata Bijak Agar Kamu Semangat Meraih Cita Cita
50 Kata Kata Mengejar Impian Dan Cita Cita Yang Tinggi
30 Kata Kata Bijak Agar Kamu Semangat Meraih Cita Cita
Kata Kata Motivasi Sukses Meraih Impian Kutipkata
Motivasi Untuk Menggapai Cita Cita
30 Kata Kata Bijak Agar Kamu Semangat Meraih Cita Cita
Kata Kata Motivasi Sukses Untuk Meraih Impian Dan Cita Cita
Gambar Kata Kata Motivasi Semangat Meraih Cita Cita
30 Kata Kata Bijak Agar Kamu Semangat Meraih Cita Cita
Motivasi Untuk Menggapai Cita Cita
Kata Kata Tentang Hambatan Dalam Meraih Cita Cita Dan
5000 Kata Kata Motivasi Bijak Singkat Penyemangat Jiwa
8 Gambar Kata Kata Bijak Motivasi Terbaik Motivasi
Kata Kata Motivasi Sukses Untuk Melecut Semangatmu Kepogaul
Solusi Dalam Menggapai Cita Cita Halaman All Kompasiana Com
35 Kata Kata Motivasi Belajar Untuk Mendorong Semangat
5000 Kata Kata Motivasi Bijak Singkat Penyemangat Jiwa
30 Kata Kata Bijak Agar Kamu Semangat Meraih Cita Cita
Tips Menggapai Cita Cita Indozone Id
30 Kata Mutiara Perjuangan Sebagai Motivasi Menggapai Cita
5000 Kata Kata Motivasi Bijak Singkat Penyemangat Jiwa
30 Kata Kata Bijak Agar Kamu Semangat Meraih Cita Cita
Cita Cita Motivasi Hidup Yang Sering Terlupa Kaskus
Semangat Hidup Motivasi Dan Tanggung Jawab Puncak Bukit
Paling Populer Kata Kata Untuk Cita Cita Kumpulan Kata
Kumpulan Kata Kata Bijak Dan Mutiara Untuk Dijadikan
Motivasi Untuk Menggapai Cita Cita
Mudah Mudahan Tangga Motivasi Di Sma Negeri 10 Bogor Bisa
10 Novel Indonesia Tentang Perjuangan Pemuda Yang Menggapai
Kata Kata Motivasi Sukses Untuk Melecut Semangatmu Kepogaul
Motivasi Untuk Menggapai Cita Cita Plsunj15 Presenter Youtube
30 Kata Kata Bijak Agar Kamu Semangat Meraih Cita Cita
Kata Motivasi Semangat Dalam Mengejar Impian Dan Cita Cita
123 Kumpulan Kata Kata Motivasi Hidup Untuk Raih Cinta
69 Kata Kata Mutiara Motivasi Hidup Dalam Menggapai Cita
Dp Bbm Motivasi Sukses Dan Kata Kata Motivasi Keren Terbaru
Mudah Mudahan Tangga Motivasi Di Sma Negeri 10 Bogor Bisa
Pelipur Duka Menggapai Cita Motivasi Islami Ellunar
Mimpi Sebagai Motivasi Berprestasi Meraih Cita Cita
Kata Bijak Polisi Untuk Caption Dan Status Bikin Semangat
Kumpulan Puisi Cita Cita Menjadi Polisi Operator Sekolah
40 Kata Mutiara Yang Bisa Membuatmu Bersemangat Mengejar Mimpi
30 Kata Kata Bijak Agar Kamu Semangat Meraih Cita Cita
Dirpolairud Nunung Pengenalan Sejak Usia Dini Menjadi
25 Kata Kata Motivasi Belajar Untuk Mendorongmu Meraih Mimpi
Kata Kata Motivasi Sukses Untuk Melecut Semangat Dan Meraih
5000 Kata Kata Motivasi Bijak Singkat Penyemangat Jiwa
101 Kata Kata Motivasi Sukses Meraih Impian Dan Cita Cita
Motivasi Untuk Menggapai Cita Cita
Gambar Kata Kata Motivasi Semangat Meraih Cita Cita
Pencarian Peluang Merencanakan Hidup Karier Ppt Download
Kata Kata Motivasi Bola Voli Cikimm Com
Motivasi Impian Menjadi Seorang Wirausahawan
Hmja Feb Unsoed On Twitter Pr Acc Heroes Telah
101 Kata Kata Motivasi Sukses Meraih Impian Dan Cita Cita
30 Kata Kata Bijak Agar Kamu Semangat Meraih Cita Cita
Tips Untuk Menambah Motivasi Dalam Belajar Berjuang Untuk
Kata Motivasi Semangat Dalam Mengejar Impian Dan Cita Cita
Motivasi Anak Terhebat Buku Istimewa Untuk Meraih Cita Cita
Dirpolairud Nunung Pengenalan Sejak Usia Dini Menjadi
Kata Kata Semangat Meraih Cita Cita For Android Apk Download
50 Pantun Nasehat Sangat Memotivasi Dan Penuh Makna Lengkap
Motivasi Untuk Meraih Cita Cita Ime Ilearning Media
Dirpolairud Nunung Pengenalan Sejak Usia Dini Menjadi
35 Kata Kata Motivasi Hidup Buat Harimu Jadi Semangat I
5000 Kata Kata Motivasi Bijak Singkat Penyemangat Jiwa
Alumnus Berikan Motivasi Kepada Siswa Agar Semangat Meraih
Doc Wawancara Cita Cita Jeany Hanifa Academia Edu
Motivasi Untuk Meraih Cita Cita Ime Ilearning Media
Menggapai Angan Dan Mimpi Cita Cita Ayo Buktikan Motivasi
Download Gambar Kata Kata Motivasi Meraih Cita Cita
Selain Menulis Berdasarkan Pengalaman Pribadi Ada Juga Yang
Peer Teaching Motivasi Untuk Menggapai Cita Cita By Fahmi
Smart Teen 46 Menjaga Motivasi Diri Meraih Cita
Kata Kata Motivasi Sukses Pembangkit Semangat Posbagus
Galeri Kis Mlaku V2 Kelas Inspirasi Surabaya
15 Kata Kata Motivasi Diri Menuju Masa Depan Kepogaul
Jual Buku Meraih Mimpi Itu Gampang Oleh Sifah Nur Jubilee
Setiap Orang Pasti Memiliki Cita Cita Seperti Ppt Download
Bimbingan Dan Motivasi Meraih Cita Cita Ke Depan Bagi Anak
Training Dan Motivasi Tiada Henti
70 Kata Kata Motivasi Merry Riana Paling Inspiratif Penuh
Pengumuman 1x1 Kelas Inspirasi Surabaya
Wulquote Kata Motivasi Rahasia Menggapai Cita Cita
365 Motivasi Harian Fokus Meraih Cita Cita Wattpad
Kata Kata Motivasi Sukses Meraih Impian Kutipkata
10 Kata Kata Motivasi Sukses Meraih Impian Cermati
Kata 2018 06 06 Pendidikan Formal Dan Motivasi Hidup Dalam
Pdf Bahagia Dalam Meraih Cita Cita Kesejahteraan Subjektif
Menumbuhkan Motivasi Untuk Menggapai Cita Cita Foto Tempo Co







Belum ada Komentar untuk "Motivasi Menggapai Cita Cita"
Posting Komentar